
17日,国家统计局公布的数据显示,5月份70个大中城市商品住宅销售价格涨幅基本保持稳定态势,一二三线城市二手住宅销售价格环比涨幅均有回落。专家表示,当前房地产市场调控政策效果显现,部分热点城市楼市“降温”,房地产市场有望实现平稳健康发展。
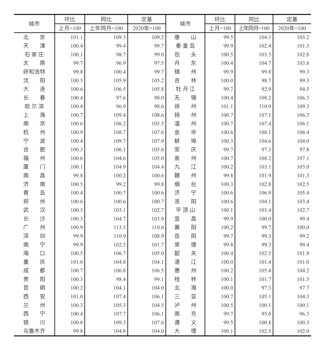
据国家统计局测算,5月份,4个一线城市二手住宅销售价格环比上涨0.6%,涨幅比上月回落0.2个百分点;31个二线城市和35个三线城市二手住宅销售价格环比分别上涨0.4%和0.2%,涨幅比上月均回落0.1个百分点。
2021年5月70个大中城市二手住宅销售价格指数
(来源:国家统计局)
易居研究院智库中心研究总监严跃进说,从各个城市的二手房市场来看,总体上涨幅扩大的动力在减弱。对二手房的监管成为今年的亮点,一些高价项目挂牌和交易受到监管,部分城市严打炒作学区房,这些措施有助于促进二手房价格的稳定。
具体来看,备受关注的北上广深二手房房价,北京、上海和广州环比分别上涨1.1%、0.7%和0.9%,涨幅比上月分别回落0.1、0.2和0.3个百分点;深圳由上月持平转为下降0.1%。
“随着二手房价格管控出现效果,深圳二手房价格首次出现下调。”中原地产首席分析师张大伟说,这是从2019年7月以来深圳二手房价格第一次下调。
在70个大中城市中,北京、徐州和重庆为二手房价格涨幅居前的城市,分别达到1.1%、1.1%和1.0%。分析人士表示,需要对北京这样具有“风向标”作用的一线城市房价波动保持警惕,防止对房地产市场预期产生不稳定影响。
国家统计局数据显示,5月份,4个一线城市新建商品住宅销售价格环比上涨0.7%,涨幅比上月微扩0.1个百分点;31个二线城市和35个三线城市新建商品住宅销售价格环比分别上涨0.6%和0.4%,涨幅均与上月相同。
2021年开年以来,部分城市楼市热点不断,各地密集出台调控政策措施。据中原地产监测数据显示,前5月全国房地产调控政策落地234次。以广州为例,4月以来,当地调控持续加码,加大土地端供应,部分区域“限房价、竞地价”,广州9区住房增值税征免年限从2年提高至5年,并进一步收紧人才购房政策。
2021年5月70个大中城市新建商品住宅销售价格指数
(来源:国家统计局)
从房价环比上涨城市数量变化来看,5月份,新建商品住宅价格环比上涨的城市数量有62个,与上个月相同;下跌的城市有5个;3个城市房价环比持平。其中,环比最高增幅为重庆的1.9%;最大降幅为大理的-0.4%。
安永大中华区房地产行业主管合伙人汤哲辉说,整体来看,2021年1至5月份全国房地产市场继续保持了较快增长态势,销售面积和金额均创历史同期新高,但随着政策调控的效果显现,全国商品房销售面积和销售额同比增幅收窄。从区域市场活跃度来看,各地市场冷热不均,部分地区一二手房产交易市场价格倒挂。
据国家统计局数据,1至5月份,我国商品房销售面积66383万平方米,同比增长36.3%,比2019年同期增长19.6%。商品房销售额70534亿元,增长52.4%,比2019年同期增长36.2%。
(来源:国家统计局)
“销售活跃、房价上涨仍是主流,但在各地密集调控下,房价涨幅出现收窄,特别是政策调控力度相对较大的部分城市,明显出现上涨放缓趋势。”张大伟说。
汤哲辉认为,我国房地产市场调控政策处于收紧状态,金融监管力度持续加强,部分热点城市仍有政策加码的预期,且土地集中供应,土地出让金划转税务部门征收政策的出台,均会对未来楼市产生影响。下一步房地产市场仍需坚持“房住不炒”定位,从供需两端发力,围绕稳地价、稳房价、稳预期,加大调控力度和精准度,并加强整顿规范市场秩序。(记者王优玲)