
|作者:刘寄星 ( 中国科学院理论物理研究所 )
本文选自《物理》2021年第10期
不久前,俄罗斯科学院列别捷夫物理研究所的物理学史专家V. M. 别列赞斯卡亚出版了一本书,书名叫做《异口同声说朗道——一个不落俗套的人》(图1)[1]。在这本书里,作者刊出了30篇有关朗道的访问记录,其中10篇是作者本人2001年到2014年期间的访问记录,20篇是1978年出版《朗道传》[2]的作者A. M. 里万诺娃1962年到1976年期间的访问记录(里万诺娃去世后这些记录遗留在作者手中)。她们的访问对象包括了朗道生前的同学、同事、学生、朋友,访问内容则是被访者各自与朗道交往的故事以及对朗道的看法。在朗道逝世半个多世纪以后读这样一本书,了解各种人对朗道的看法,自然会加深人们对这样一位杰出学者的全面认识。有兴趣的读者不妨找来一读。这本书之所以吸引我,除了以上原因外,还在于书的作者不愧是一位科学史专家,她细心、认真地把从被访者手中收集到的许多宝贵资料,做成19个附录,附在了书后供读者浏览。这些资料中有许多历史性文献,如1939年4月卡皮察为了救朗道出狱写给斯大林和贝利亚信件的手写底稿,1938年4月朗道被捕后物理问题研究所开除他的决定书以及1939年卡皮察从鲁布扬卡监狱将他保释出来后该所恢复其职务的决定书,还有朗道、金兹堡和费因伯格1957年就提名切连科夫效应获奖联名写给诺贝尔委员会的信件,以及朗道历年发布的理论物理最低标准大纲。除了历史文献,还有些有纪念意义的东西,比如1958年朗道50岁祝寿时,有人送给他的那副“理论物理学扑克牌”,在那副牌上,当时朗道学派的各色人物纷纷登场,煞有一番情趣(图2)。可以说,书中所附的每件珍贵历史文件后面,都有一段吸引人的历史故事可讲。
图1 《异口同声说朗道—— 一个不落俗套的人》的封面
图2 朗道50寿辰时收到的“理论物理扑克牌”中的朗道和其学派的四大爱司(鲁梅尔、米格达尔、泽尔多维奇和波梅兰丘克)
大家可能都知道,任何人如果想要投到朗道门下,都必须通过朗道的理论物理学最低标准考试。这种考试被戏称为“朗道势垒”。这篇文章想利用书中提供的朗道历年发布的理论物理最低标准大纲,回答一下朗迷们想要知道的下面三个问题:朗道势垒是如何铸成的?这个势垒到底有多高?究竟一共有多少人通过了这个考试?
1
理论物理学最低标准大纲的历史演变
1935年,朗道在乌克兰物理技术研究所发布了对该所高级研究人员的理论物理最低要求大纲(图3),其中包含力学、统计物理学、电动力学、量子理论和连续介质理论五部分的内容及各部分的参考书目。具体而言,力学部分包括:(1)最小作用量与拉格朗日方程;(2)动量及能量与拉格朗日函数的关系;(3)约化质量;(4)角动量;(5)一个自由度情况下运动方程的积分;(6)循环坐标;(7)中心对称场;(8)卢瑟福公式;(9)一个自由度情况下的小振动;(10)受迫振动;(11)阻尼振动;(12)本征频率与简正坐标;(13)非简谐振动;(14)转动坐标系中的运动方程;(15)惯性张量;(16)固体的动量矩;(17)哈密顿函数及哈密顿方程;(18)哈密顿—雅可比方程。
图3 朗道1935年发布的理论物理学最低标准大纲
统计物理部分包括:(1)热量与熵;(2)热函数;(3)自由能;(4)热力学势;(5)热力学量的变换;(6)刘维定理;(7)吉布斯分布;(8)玻尔兹曼分布;(9)麦克斯韦分布;(10)气体分子碰壁数;(11)外场中的理想气体;(12)自由能与统计积分的关系;(13)理想气体的自由能;(14)处于平衡中的理想气体的熵;(15)理想气体的混合物;(16)等分布定理;(17)相平衡条件——化学势;(18)克拉珀龙—克劳修斯公式;(19)弱溶液的化学势;(20)渗透压与温度;(21)溶液蒸气的弹性;(22)冻结点的降低;(23)亨利定律;(24)化学平衡条件;(25)理想溶液和理想气体情况——质量作用定律;(26)表面张力与表面热力学势的关系;(27)弱附着情况下的表面张力。
电动力学部分包括:(1)自有时间;(2)洛伦兹变换;(3)速度的地位;(4)速度的四维矢量;(5)质点的作用和拉格朗日函数;(6)能量、动量—四维动量;(7)标量势和矢量势,四维势;(8)能量和动量之间的关系;(9)麦克斯韦—洛伦兹方程;(10)偶极场;(11)磁矩;(12)达朗贝尔方程;(13)波矢;(14)瑞利—金斯公式的推导;(15)推迟势;(16)偶极辐射;(17)介电体与导电体的宏观麦克斯韦方程与磁极化;(18)伽伐尼电池;(19)电热效应;(20)群速度;(21)复折射率;(22)金属中的折射;(23)伦琴射线的折射系数。
量子理论部分包括:(1)自由运动粒子的波函数;(2)含时薛定谔方程;(3)定态;(4)角动量投影的本征值及其绝对值,术语命名法;(5)谐振子的能级;(6)空间转子,能级;(7)周期场中的电子;(8)穿越位垒的跃迁;(9)算符;(10)矩阵;(11)用哈密顿算符表示对时间的微商;(12)自旋;(13)对称原理;(14)泡利原理;(15)多值性;(16)反常塞曼效应;(17)原子价;(18)元素的周期系;(19)一级与二级近似下恒定场中能级的微扰;(20)恒定场中矩阵元的微扰;(21)周期场中矩阵元的微扰;(22)连续谱情况下波函数的归一化;(23)光电效应;(24)快速电子的散射;(25)狄拉克方程的含义,正负电子对;(26)选择定则;(27)含辐射的量子跃迁概率;(28)玻色与费米理想气体;(29)化学常数;(30)普朗克公式;(31)退化费米气体;(32)托马斯—费米模型。
连续介质理论部分包括:(1)理想液体的流体动力学方程;(2)不可压缩流体情况;(3)声速;(4)形变张量;(5)能量密度;(6)应力张量;(7)弹性模量的相互关系;(8)弹性体的运动方程;(9)纵波速度与横波速度;(10)热传导方程与扩散方程;(11)系数与流动性之间的关系;(12)不可压粘性流体的流体动力学方程。
从这个提纲不难看出,这就是朗道当年对其《理论物理学教程》所含内容的最初规划1),1938年出版的《统计物理学》和1940年出版的《力学》两卷的章节,基本上就是按这个提纲安排的。从这个提纲还可看出,朗道当年对电动力学的设想是将真空中的电动力学和介质中的电动力学合在一起,量子力学中对相对论量子理论也没有太多要求,只提到了狄拉克方程和正负电子对。从1935年到1947年,以上这个大纲可以代表当时的“朗道势垒”。
图4 1947—1949年《连续介质力学》的最低标准大纲
1947—1949年,朗道发布了新的理论物理最低标准大纲,在这个新大纲中,将原来的5部分内容扩展成了7部分,即:(1)力学;(2)场论;(3)量子力学;(4)相对论量子理论;(5)统计物理学;(6)连续介质力学;(7)连续介质电动力学。其具体内容也远比1935年发布的提纲广博高深。此时,他规划的《理论物理学教程》已经出版了《力学》(1940)、《场论》(1941)、《统计物理学》(1938,1940)和《连续介质力学》(1944)4卷2),因此这几门课程对投考者的要求也就是掌握教程中所包含的内容,如《力学》只要求如下6章内容,即运动方程;守恒定律;运动方程的积分;小振动;固体的运动;正则方程。而《场论》则要求相对性原理;相对论力学;场中的电荷;恒定电场;电磁波;运动电荷的场;引力场中的粒子;引力场方程等9方面内容。《连续介质力学》的要求比教程中的章节要少(图4),仅包括理想液体;粘性液体;液体中的热传导;声;间断;表面现象;气体动理论;弹性理论的基本方程;固体的热传导和粘滞性等内容,而略去了该书第3、4、8、9、10、15章的内容3)。《量子力学》则被分作非相对论部分和相对论理论两部分分别考试(图5),非相对论部分比起1935年的大纲扩展很多,其37个要点几乎就是1948年将要出版的《量子力学—非相对论理论》的主要章节安排;相对论量子理论则包括了狄拉克理论;二次量子化;偶极辐射概率,选择定则;拉曼效应;康普顿效应;光电内转换;快电子的散射;电子场的傅里叶积分展开;对的形成;簇射理论和β衰变理论等10个要点,远比1935年大纲要广得多。新增加的《连续介质电动力学》列出了12个要点(图6),分别为:由洛伦兹方程导出麦克斯韦方程;场中的球;电热和磁热效应;气体的介电极化率;强电解质理论;磁化率;低温下的铁磁性;金属中电子的磁性;超导体的热力学;偏振面的旋转;运动物体的麦克斯韦方程;涨落与光的散射。不难发现,这部分大纲包含了10年后将要出版的《连续介质电动力学》的部分内容,但后者远比这个大纲更为广泛深入4)。
图5 1947—1949年非相对论量子力学和相对论量子力学两部分的最低要求大纲
图6 1947—1949 年连续介质电动力学部分最低要求大纲
1956年,朗道发布了理论物理学最低要求考试的第三个大纲(图7),这时《理论物理学教程》除《连续介质电动力学》、《相对论量子力学》和《物理动理学》未出版外,各卷均已出版,故朗道的大纲仅仅对《连续介质电动力学》、《相对论量子力学》两部分有明确的要点提示(图8、图9),其他各门只列出了备考时教程已出版各卷中不必阅读的章节,如《力学》要求阅读全书,《场论》则不必阅读33、50、54—57、59—61、68、69、73、75、89、101等15节。
图7 朗道1956年发布的理论物理学最低标准大纲
图8 1956年大纲对相对论量子力学的要求要点
图9 1956年大纲对连续介质电动力学的要求要点
值得注意的是,这个大纲开头的说明中明确指出,今后的考试不再只由朗道一人主持,而是由朗道、栗夫席兹和哈拉特尼科夫三人分别主持:朗道主持数学1(积分,常微分方程,矢量分析和张量代数)和相对论量子力学的考试;栗夫席兹主持数学2(复变函数论,微分方程的解析理论和拉普拉斯方法),宏观电动力学和量子力学的考试;哈拉特尼科夫主持力学、场论、连续介质力学和统计物理学的考试5)。
至此,所谓“朗道势垒”正式铸成,凡是想要成为朗道学生的人,必须掌握相当的数学技能,熟读朗道—栗夫席兹《理论物理学教程》各卷中除大纲不要求部分外的全部内容,并且经过严格的9门考试6)。
2
朗道的试题有多难?
朗道对于最低标准考试的态度极为认真,他亲自接待每一个投考者,亲自给他们写出题目,考试中每隔一段时间观察他们的答题状况,并作出相应评价。1950年通过朗道最低标准考试、1990年被选为苏联科学院通讯院士的鲍里斯·约飞曾生动地回忆过他参加朗道考试的过程[4],特直译如下:
“1947年夏天,我鼓起全部勇气走出了决定性的一步——给朗道打电话,问他我是否可以开始参加他的最低标准考试。他告诉我,我可以在最近几天中的一天去他家参加考试。我相当容易地通过了入门的数学考试,然后他给了我用打字机打好的余下七门考试的大纲(实际上,还有第八门数学考试:复变函数,特殊函数,积分变换等等)。那时候朗道的理论物理学教程只出版了朗道和皮亚季戈尔斯基的《力学》、朗道和栗夫席兹的《场论》、《连续介质力学》和《统计物理学》(经典统计部分),其余的教程则要阅读别的书籍或原始论文,这些论文是用英文和德文写的,比如量子力学就有汉斯·贝特发表在Annalender Physik上的两篇各100页以上的大论文(图5)。这意味着每位应试者至少要掌握两种语言。
考试一般以如下方式进行:应试者先打电话告诉朗道他想要考哪门课程(考试课程的次序在一定程度上是任意的),朗道会说:‘好吧,你何时何时来’。到达之后你要把随身带的书籍、笔记等等放在一楼门厅,然后朗道把你领到二楼的一个小房间,那里有一张摆放着几张白纸的桌子和一把椅子,朗道在白纸上写下题目后走开,每15—20分钟后回来在应试者的背后看答题情况。他如果不吭声就是好现象,如果他‘嗯’一声,则情况不妙。我倒没有过考砸了的个人体验(我只知道考砸了还允许再考)。我只是在考《统计物理学》那一次接近了危险的边缘。当时我没有用朗道期望的方法开始解题,朗道走过来在我背后看了一眼,‘嗯’了一声就走开了。过了20分钟他又走过来看了一眼,用更不满意的音调发出‘嗯’声。这时不知为什么栗夫席兹走了进来,他也看了我的答卷,高声喊道:‘道,把这家伙轰走算了,不值得为他浪费时间!’。朗道不同意,说‘再给他20分钟’。我正好利用这段时间得到了答案,而且这个答案是正确的!朗道走过来看了我的答案并仔细看了我的计算,承认我是对的。他和栗夫席兹又问了我几个简单问题后,这门考试就算通过了。
朗道的试题相当复杂,学生解一道题大约需要花一个小时(通常,他的试题是一到两道难题加一道简单题),因此,准备考试时要花功夫多解些题目。为了要多做练习,我曾努力到处收集题目。(那时候没有习题集,也没有地方收集朗道的《教程》上现在作为习题的那些题目)。我曾问过在我之前通过最低标准考试的阿布里科索夫朗道考他的题目(当然不是问他如何解这些题!)并解出了这些题目。经过几次考试后,我发现朗道的考题数量相当有限,因为他有时给我的考题和考阿布里科索夫的题目是一样的。我想,朗道明白参加他的考试的考生之间会相互交流他给出的考题,但他并不担忧这些,因为他完全可以通过观察学生如何解题判断出他的能力和知识水平。下面就是他的考题之一例——一道宏观电动力学的考题:介电常量及磁化率分别为ε1和μ1的介质小球以角速度ω在处于恒定电场E 内的介质中转动,介质的介电常量和磁化率为ε2和μ2,转动轴与电场E 的夹角为α,试求小球和介质内的电场与磁场”。
朗道的考题数目有限这一说法也得到阿布里科索夫的证实,他在一篇回忆朗道的文章中写道:“我们几个人(栗夫席兹、哈拉特尼科夫和阿布里科索夫)开始参加主持最低标准考试时,正好赶上莫斯科物理技术学院成立后该院学生结伙来投考。很快我们就得知,考生们相互之间在传抄我们那些数目有限的试题。那时我想出了一道复变积分的难题用来对付那些机灵鬼,并为此感到洋洋得意。当我把这事告诉朗道时,他骂了我一顿并要求我把考题改回到原来的标准题目。我反驳说:‘道,你知道他们除了这几道题之外,什么都不知道!’。他的回答是:‘他们用不着知道的更多’。”[5]
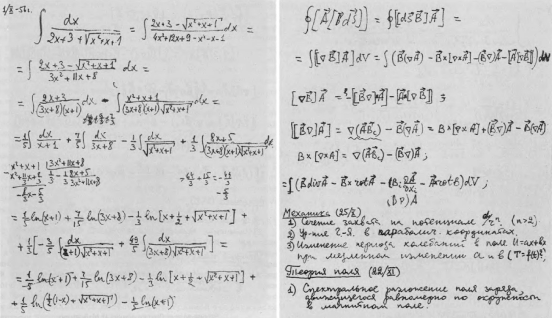
图10 德列敏保存下来的他参加朗道理论物理最低标准考试的两张记录
由以上所述可见,朗道的考题虽然不容易,但他也并非专出难题、怪题为难学生之人。虽然有不少人在他们的回忆中谈起参加朗道考试的经历[5],但除了鲍里斯·约飞上面所举的一个例子之外,并没有更多的应试者透露过他的考题,所以朗道的考题究竟有多难,长期以来一直是个谜。幸好别列赞斯卡亚这本书中有一篇伊戈尔·德列敏博士的访问记[6],其中附上了德列敏保存的他参加朗道考试的两页记录(图10),提供了数学、力学和场论的几道考题,笔者据此译出,有兴趣的读者不妨考考自己7)。
数学1
(1) 试求不定积分
(2) 试将面积分
力学
(1) 试求在势场 α/rn(n & 2 )中的俘获截面;
(2)试写出抛物线坐标下的哈密顿—雅可比方程;
(3)当a和b均为时间的缓变函数时,试求出在场U=ax2+bx中振动周期的变化。
场论
试给出在磁场中作匀速圆周运动电荷的场的谱分解。
初看起来,人们可能会觉得数学1的第一道题过于简单,不过所有回忆过参加朗道数学1考试的人都无一例外地提到过朗道的一个古怪的禁戒:求带根号的不定积分时不得使用欧拉代换,解非齐次常微分方程时不得使用常数变异法,谁在做这些题时用了欧拉代换或常数变异法,谁肯定出局。1955年通过朗道考试、1997年被选为俄罗斯科学院通讯院士的马克西莫夫曾感叹说:“直到现在我都弄不明白,欧拉先生究竟是哪里得罪了列夫·达维多维奇?”8) [7]。如果不用欧拉代换,你能轻易地求出这个不定积分吗?
3
到底有多少人通过了朗道的考试?
从朗道1935年发布理论物理学最低标准大纲到1962年1月7日朗道遭遇车祸,总共约有27年时间,在这段期间内究竟有多少人参加过朗道的考试,文献上没有记载,无从查起。但通过朗道九门严格考试的人数却是有据可查的。一般的说法是43人,其根据是朗道在遭遇车祸两个月之前自己整理出的一个名单(图11)。朗道在整理这个名单时很认真,在名单上标出了他们通过考试的时间,1961年底之前所取得的学位或荣誉称号。整理这个名单的依据显然是他保存的原始考试记录(图12),从这个原始记录中可以看出考生姓氏,参加考试的科目和考试时间。从这页记录中不难看出,通过全部考试的学生所占比例相当低,不少人考过几门后就放弃了。据哈拉特尼科夫回忆:“朗道从不公布学生的考试成绩,仅在极特殊的情况在其名下画个惊叹号或问号。如果某人积累了三个问号,则认为其不适合从事理论物理学的研究。向考生解释这种最不令人愉快决定的活总是由朗道自己去干。”[5]
图11 朗道 1961 年底整理的通过理论物理最低标准考试人员名单
图12 朗道的考试结果登记本之一页
从保存科学史料的角度出发,2008年郝柏林同志发表《朗道百年》时曾专门加了一个附录,把这43人的姓名全部记录了下来,并且标出了其中一些人当选为科学院通讯院士或院士的年代[8] 9)。为满足对此有兴趣的读者的要求,我将这个名单照抄如下(表1)。
表1 朗道笔记本上的43人名单
应当指出的是,朗道给出的这个名单其实是个不完全名单。首先,他把1935年第五个通过考试的皮亚季戈尔斯基清除出了这个名单。我们在“谈书说人之四:师徒反目的缘由及其教训”中已详细交代过朗道与皮亚季戈尔斯基交恶的缘由,不难理解任性的朗道为何将后者“革除”出这个名单。被朗道清除出这个名单的另一个人叫弗拉基米尔·浩加因诺夫(Vladimir Khozianov)。此人不仅通过他的全部考试而且还在他指导下完成了论文得到副博士学位。据鲍里斯·约飞在[4]中所述,此人学业差劲、人品可疑,约飞虽曾多次提醒,朗道执意培养此人。不料浩加因诺夫取得学位后飞黄腾达,成为苏联科学院物理问题研究所的苏共党委书记。他不但不感谢朗道的培养,反而在1952年苏共中央在物理学界发起的“反世界主义”运动高潮中反咬朗道一口,控诉朗道在理论部“迫害”他这个“唯一的俄罗斯人”。为改变物理问题研究所理论部犹太人严重超标的情况,当时的所领导(原所长卡皮察已被撤职并被“流放”,研究所的领导权由克格勃派来的特派员巴布金少将操纵)决定成立由福克当主任的第二理论部,浩加因诺夫为此不遗余力决心要用福克换掉朗道。结果由于福克拒绝到任,加之斯大林于1953年初去世,此事被迫流产。哈拉特尼科夫发表在俄罗斯《自然》杂志1996年第7期上的一篇文章中回忆,1950年代浩加因诺夫去法国访问期间勾引接待人的妻子,回国后仍书信不断,结果被克格勃在书信检察中查了出来,成为苏联科学院整顿院风的典型,被撤职查办10)。朗道为何不听劝告执意培养浩加因诺夫,也许和哈拉特尼科夫在回忆录中所说的以下故事有关:“当时不知道为何(所里的)理论物理学家绝大多数都是犹太人,卡皮察为此和朗道开玩笑,承诺如果他接收到一个非犹太裔研究生,就给他发一笔奖金。当我从第聂伯罗彼得洛夫斯克来莫斯科参加最低标准考试时,朗道看着我本人和我的姓,确认我正好就是这样的人选。他并没有直接问我属于哪个民族,但是由于我的金发看起来像是俄罗斯人,再加之我姓读起来充满俄罗斯味道的哈拉特尼科夫(Halatnikov)11)。于是他就愉快地通知卡皮察,他终于有了一个俄罗斯族的研究生。后来听说卡皮察还真如他承诺的那样,给朗道发了一笔奖金。(当发现我又是个犹太人后)卡皮察曾告诉我,他得从朗道手里把那笔钱要回来。不过直到现在我也不知道他的这个打算实现没有。”[9]
图13 蒂萨(1907—2009)
朗道的43人名单中只有一个外国人,那就是匈牙利人蒂萨(Tissa Laslo)(图13)。蒂萨比朗道大一岁,曾因参加匈牙利共产党活动在国内被抓进监狱,经爱德华·特勒等人营救并介绍到哈尔科夫进入朗道的理论部并于1935年通过朗道的考试。他1937年离开苏联,1941年到美国在MIT当物理学教授,直到2009年才去世,活了102岁。其实,参加并通过朗道全部考试的外国人还有中国学者卓益忠(图14)和郝柏林(图15),他们没有出现在名单中的原因不同。卓益忠1956年被派往苏联科学院物理问题研究所学习,他在两年内考完了朗道理论物理最低标准的九门考试,但朗道没有留他做研究生,也没有把他的名字写在名单中,其中缘由我曾在纪念他的一篇文章中有所分析[10]。郝柏林则是在1961年11月才开始参加朗道的考试,未及在朗道次年1月出车祸前考完,直到1962年9月才由阿布里科索夫考完最后一门《量子场论》,开始跟从阿氏做研究生[8],他的名字当然不会出现在朗道1961年底整理出的名单上。与郝柏林相似,也有一些苏联学生是在朗道出车祸前未及考完而由朗道亲密同事主持考完全部科目的,这中间就有莫斯科大学物理学教授扎依采夫(Zaichev R. O.),朗道出车祸前他考完了8门,最后一门由栗夫席兹主持通过。
图14 卓益忠(1932—2017)
图15 郝柏林(1934—2018)
朗道通过严格最低标准考试挑选出来的这些人,除个别人之外,构成了苏联理论物理学“朗道学派”的生力军12),他们为苏联理论物理学在上世纪后半叶的几十年里称雄世界发挥了不可磨灭的作用。应当说,这是朗道对物理学的一大贡献。
注:
1)朗道最初对教程的规划是5卷:(1)力学;(2)统计(物理)学;(3)电动力学;(4)量子力学;(5)宏观物理学。
2)教程中的《量子力学—非相对论性理论》第一版1948年出版,故1947年发布的此大纲未提及这一卷。
3)略去的这些章的内容为湍流、边界层、可压缩流体绕固体的流动、燃烧流体动力学、扩散及杆和板的平衡等专门性问题。
4)《连续介质电动力学》第一版于1957年出版,共含15章:即导体的静电学、电介质的静电学、稳恒电流、稳恒磁场、铁磁性、超导性、准静态电磁场、磁流体动力学、电磁波方程、电磁波的各向异性介质中的电磁波传播、快速粒子穿过物质、电磁涨落、电磁波的散射、晶体中的X射线衍射。
5)阿布利科索夫后来也参加主持了数学2和相对论量子力学的考试。朗道何时开始将自己一个人主持的考试改由自己和几位亲密同事分工主持,文献上说法不一。有意思的是,朗道的几个学生,如1947年通过考试的阿布里科索夫和1951年通过考试的卡岗均曾在他们的回忆录中宣称自己是“最后一个通过朗道主持的全部考试的人”,据格洛别兹考证,阿布里科索夫所说可能不确[3]。鲍里斯·约飞回忆,朗道把考试分工给自己亲密同事的时间大约是1954—1955年[4]。
6)据1961年参加考试的郝柏林同志回忆,除数学外,物理方面的考试科目为力学、场论、统计物理、非相对论量子力学、连续介质电动力学、物理动理学、连续介质力学(流体力学和弹性理论)、量子场论。比起1956年发布的大纲,多了一门物理动理学,因朗道—栗夫席兹教程的《物理动理学》一卷在朗道生前尚未出版,使用的参考书是古烈维奇1940年出版的《物理动理学基础》(Л. Э. Гуревич,Основы Физической Кинетики,Государственное Издательство Тхнико-Теоретической Литературы,Ленинград-Москва,1940)。
7)伊戈尔·德列敏(Igor’Dremin)博士1956年10月参加了朗道的最低标准考试,他在50天内考完了《数学1》,《力学》和《场论》三门考试,后因被列别捷夫物理研究所接收为研究生而没有继续考下去。他把朗道的考试题记在一个笔记本上,这个笔记本曾经差点被该所理论部发生的一场火灾烧毁。
8)朗道为何有这两条禁戒的一个可能的解释,是他想要看看考生在一般数学技巧上有无创造性。据他的学生回忆,朗道对自己求积分的能力很得意,如果在谁的论文中出现了一个新的困难积分,他总会自己独立地算一遍,而且每回都能成功算出。在早年的伽莫夫、伊万年科、朗道“三剑客”中,伊万年科以光会说不会算招人鄙视,伽莫夫虽然提出了原子核α衰变理论而扬名世界,但却因在文末感谢苏联著名力学家科钦(N. E. Kochin)的帮助不免遭人嘲笑,原因是当人们询问科钦对伽莫夫有何帮助时,科钦的回答是“我帮他算了一个带根号的积分”,唯有朗道的数学技巧纯熟备受赞扬。
9)表中第一列姓氏中的名字缩写是2008年请卡岗诺夫(M. I. Kaganov)补加的,朗道的原表只写了姓氏。第二列和第三列的符号是朗道原来给出的,第二列的两位数XX表示通过考试的年份(19XX);第三列中的K和D分别表示1961年底前所取得的学位,K表示副博士,D表示科学博士。第四列xxxx/yyyy是当选通讯院士/院士的年份,这一列是郝柏林和刘寄星2008年共同核查后加上的。
10)按哈拉特尼科夫的文章,在苏联科学院为出国干部召开的大会上,苏共在苏联科学院的大总管托比切夫公布了浩加因诺夫的丑闻并宣布撤销其物理问题研究所党委书记职务,并声称:“出国出差期间背叛自己的妻子等同于背叛祖国!”。
11)Halatniknik这个俄文词的意思是“穿长袍的人”或“懒蛋”,是典型的俄文词。
12)属于朗道学派的著名理论物理学家金兹堡、泽尔多维奇、米格达尔、I. M. 栗夫席兹等人都没有参加过朗道的理论物理最低标准考试,因此不能以是否通过这个考试来判断一个人是否属于“朗道学派”。
参考文献
[1] Березанская Валентина Михайловна. Беседы о Ландау:Человек вне стереотипа. — М.:ЛЕНАНД,2016
[2] Ливанова А. Л.Д.Ландау. М.:Знание,1978
[3] Горобец Борис Соломонович. Круг Ландау:Физика войны и мира/Предисл. Б. А. Кушнера. —М.:Книжный дом《ЛИБРОКОМ》,2009. p152
[4] Иоффе Б . Л. Без ретуши . Портреты физиков на фоне эпохи. -М.: ФАЗИС,2004. p5
[5] Воспоминания о Л. Д. Ландау. Ответственный редактор академик И. М. Халатников,Москва,《Наука》,1988. p36
[6] 同[1],p156—161
[7] 同[3],p154
[8] 郝柏林. 物理,2008,37(9):666
[9] Халатников И. М. Дау,Кентавр и другие. Top non-secret. M.:Физматлит,2007. p13—14 (此书有英译本:Khalatnikov I M. From the Atomic Bomb to the Landau Institute. Springer-Verlag Berlin Heidelberg,2012)
[10] 刘寄星. 物理,2017,46(11):764
精彩视频 不要错过
温馨提示:微信公众号信息流改版,每个用户可以设置 常读订阅号,这些订阅号将以大卡片的形式展示。因此,如果不想错过中科院高能所的文章,您可以进行以下操作:进入中科院高能所公众号 → 点击右上角的 ··· 菜单 → 选择设为星标
觉得不错,请点这里