
撰文 | 孟子杨
来源 | 本文选自《物理》2021年第11期
图1 左图:黄永玉画的猫头鹰,有多少人知道背后的荒唐历史闹剧;黄永玉创作的套色木刻《阿诗玛像》(中),设计的猴票(右),都成为中国当代美术史上的经典作品
这个题目乍一看有点儿戏谑,甚至有些许少儿不宜的味道,其实《无愁河的浪荡汉子》是木刻家、画家、作家黄永玉在80多岁时开始写作的以自己为原型的人生自传,目前已经出到第三部。第一部《朱雀城》从传主张序子两岁开始,写他的太婆、爷爷、父亲母亲、姑姑和表叔们——其中一位表叔就是写出《边城》、《长河》和《中国古代服饰研究》的沈从文——一个大家族,和他们生活的朱雀古城 (以湘西凤凰为原型),古城的四季时光、风俗民情与繁华时的荣耀。在第二部《八年》中,家族和古城渐渐衰败,十二岁的张序子也不得不沿着长河,漂流到外面广阔的世界。八年中流浪历险,正与中华民族抵御外辱的生死时期重叠,少年张序子孤身游走于闽东南一带,见识到海洋文明的宽广,在艰难中成长,奠定了一生的性情和艺术追求。在第三部《走读》里,活蹦乱跳的张序子娶了妻室,货真价实地进入了成人世界,这一段生命之河已不能“无愁”,要真刀真枪搏生活、闯世界。在从赣州到广州到厦门到上海到台北到香港的叙述中,可以看到一群艺术家、文化人的性情样貌以及各地的风俗人情,满溢着时代、故园、骨肉的哀喜。但是,生活的磨砺并没有改变艺术家们诙谐幽默的风格,在艺术上的孜孜以求,朋友们之间的互助,仍是书中主要描写的内容。爱、怜悯、感恩,就是《无愁河的浪荡汉子》的题旨。
画家在后来的岁月中创作的猫头鹰、阿诗玛像还有生肖邮票中的猴票,都是当代美术史上令人难忘的有趣作品 (图1),也折射出这个浪荡汉子独特的创造力和对于艺术的一片真心。尤其是想到这些作品是在怎样的大背景下完成的,生活的沉重、时代的荒唐、现实的残酷,是想躲都躲不过去的,而艺术家仍然是以赤子之心来面对,沉痛和坚毅之处往往让人动容。黄永玉在《比我老的老头》里也写过这样的话:“我那时也曾哭过一次,忍不住的热泪滂沱,头埋在被子里。那是读到巴尔蒙特的诗句‘为了太阳,我才来到这世界!’哭得像小孩子。哭完就算,好人一个!”为什么要哭,这背后的故事说起来太过复杂和辛酸,就像图1中猫头鹰的本事——真是一个传奇的本事——感兴趣的读者可以自己查阅。对于我们的行文来说,重要的是要做到“好人一个”,艺术家、智者和这些有趣的人们集了自己一生的苦难经历告诉我们,悲伤很耽误时间,有人因此浪费了半辈子光阴甚至送掉了性命;把悲伤当成诗,那会好过点。重要的是要做有意思的事情,做自己认为有意思的事情,所有的事物和经历都会成为滋养我们创造的养分。这就是无愁河上的浪荡汉子。
科学家也可以有这样的追求,也应该有这样的追求。“认认真真地做一种事业,然后凭自己的兴趣读世上一切有趣的书”,总有些超越个体悲欢,超越时代的条条框框的有趣的事情,招引着、鞭策着和安慰着我们,让我们也能渐渐成长为无愁河上的浪荡汉子们。
讲个具体的故事吧,还是我们自己的故事,一群浪荡汉子们的故事。
大家都知道以拓扑序和涌现分数化激发为代表的量子物质形态是当下凝聚态物理学和量子物质科学诸多研究方向的母题。在量子磁体和相变理论的领域中,如此的母题常常具象化为量子自旋液体的模型构造、数值求解和量子自旋液体态与常规的对称性破缺态之间的相变行为的刻画,当然如果有材料实现和实验探测就更是锦上添花,这些都是当下研究的前沿 (参见前文:寂静春天里的动力学. 物理,2019,48(2):104) 。
在诸多阻挫磁体模型中,二维笼目 (kagome) 晶格的Balents—Fisher—Girvin模型 (简称BFG模型) 很受数值计算和解析理论同行们青睐。如图2(a)所示,BFG模型每个kagome格点上有一个量子的自旋1/2自由度,用硬壳玻色子的语言来讲,就是在每个格点上,S+、S-分别代表玻色子的产生、湮灭算符,Sz代表玻色子的占据数算符。这个模型只有短程的两体自旋 (或者玻色子) 相互作用,而不像有些拓扑序严格可解模型中复杂的多体和长程相互作用,即图2(a)中最近邻S+S- (玻色子的跃迁) 交换相互作用t和六边形之内的SzSz (玻色子的密度—密度排斥) 阻挫相互作用V。为了实现Z2为偶的拓扑序,我们又在模型中加入相邻六边形之间的玻色子密度—密度排斥V ′。如此的模型既有Z2拓扑序量子自旋液体的基态 (Z2 quantum spin liquid,Z2 QSL),也有铁磁XY长程序的基态(如果用玻色子的语言就是破缺玻色子U(1)对称性的超流态 (super fluid,SF))。两个基态之间的相变,不同于传统的玻色—哈伯德 (Bose—Hubbard) 模型中从玻色子莫特绝缘体到超流态的(2+1)d XY相变,而因为此处的莫特绝缘体具有了Z2拓扑序和涌现自旋子 (spinon) 和vison任意子,相变类型变成了(2+1)d XY*,具有了不同的量子临界描述。(见参考文献[1—4]中关于这个模型和相图的系列工作和系统描述。)
图2 (a)Kagome晶格及BFG模型;(b)BFG模型的相图示意图:Z2量子自旋液体相(Z2 QSL)和其中的分数化电荷Q/2(spinon),超流相(SF)以及两相之间的(2+1)维XY*相变点与量子临界区。T *为涌现自对偶温度,临界区中不同的温度区间(以不同颜色代表),与图3中的温度区间对应
BFG这类模型还有一个好处,就是可以通过量子蒙特卡洛数值计算方法进行严格计算,得到如相变点、低能激发的谱函数等定量的信息,超越了微扰计算只能停留在“hand-waving”层面的尴尬情况。笔者与合作者等等一众浪荡汉子们之前的工作 (这里需要特别提及的是现在在中国矿业大学材料与物理学院的青年教师王艳成,清华大学高等研究院的博士后孙光宇),就是运用蒙特卡洛计算和随机解析延拓的数值计算方法,给出了这一类模型中的奇、偶Z2拓扑序自旋液体与其他对称性破缺相的准确相图[2,3],以及拓扑序自旋液体中的vison任意子激发在相变点上发生凝聚时,展现出来的拓扑序系统特有的平移对称性分数化的谱学行为[4],为可能的中子散射实验探测给出了理论凭借(参见前文:寂静春天里的动力学)。
但是我们当时还有一个问题没有回答,那就是在从Z2量子自旋液体到玻色子超流相之间的(2+1)d XY*相变点上,有没有可以反映分数化任意子存在的迹象?虽然我们在前期的蒙特卡洛计算中已经看到临界指数中的反常维度 (anomalous dimension) 从普通的(2+1)d XY相变中的0.04变为此处的接近1.5[3],但这样的结果更像是少数理论工作者之间的黑话,对于广大的只知道单体薛定谔方程的实验凝聚态物理学工作者们来说,对于更多的从一只猫的生死来理解量子纠缠、从事量子计算的理论和实验科学工作者们来说,这个anomalous dimension还是太过抽象,听不懂,此处需要有让人能听懂的信号。这样的信号去哪里找呢,我们这群浪荡汉子又浪荡了好一段时间,才想到其实还真有,那就是电导(此处多亏浪荡汉子中的一位,耶鲁大学的程蒙老师,为大家指出这个方向),这才有下面要介绍的工作[1]。
其实拓扑序到目前为止真正的实验系统实现,就是分数量子霍尔效应,而分数量子霍尔效应中的分数,就是指实验上测得的二维电子气体的霍尔电导是分数化的,如1/3,2/5,2/3等等。这样的结果大家都熟悉。那么在我们的Z2 QSL到玻色子SF的相变点上,是不是也有这样的分数化电导呢?答案是肯定的。只不过此处的玻色子不带电,所谓的电导不是电流的响应,而是玻色子粒子数流的响应。
其实在很多年前,人们已经知道在从玻色莫特绝缘体到超流体的(2+1)d XY相变点上,存在一个普适 (universal) 的电导值,而且这个universal的电导值还和(2+1)d XY相变共形场论描述中的基本常数有关系[5]。前期的量子蒙特卡洛与场论解析计算给出了在我们目前讨论的单位下这个universal的电导值,σXY=0.3554[5,6] (后面会提及,此处的文献[6]就是当时在中国科学技术大学读博的陈锟同学和他的导师邓友金老师等人的工作,他们的计算和分析方法对我们很有帮助)。而在我们的问题中,由于在相变点上玻色子整数电荷分数化为粒子数为1/2的自旋子,所以这里用玻色子构造的电流算符变成普通的XY相变处电流算符的1/2,而电导就是从电流—电流关联函数的测量中得到的,从而此处的电导应该分数化为普通XY相变电导的1/2×1/2=1/4倍。这就是我们所测定的在拓扑序的相变点上,电导分数化的意思。
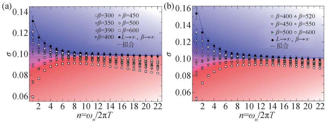
当然,想想是如此,真正动手算起来,事情就不是那么容易了。此处需要进行大规模量子蒙特卡洛模拟与理论分析相结合的研究方法,系统计算BFG模型在奇、偶Z2 QSL到超流相的(2+1)d XY*相变的量子临界区里的电导。好在我们从前期的工作里面[3,4],已经比较准确地确定了零温相变点的位置,就是(t/V )c。然后又由于电流—电流关联函数是动力学测量,我们需要在每个不同的计算温度下 (此处的温度或者虚时间,可以傅里叶变换为松原频率),首先外插在每个频率下电导在晶格尺度无穷大时的结果,然后再画出外插所得的电导曲线,在每个温度下随着频率的函数。结果就是图3(a),(b)中所示的一条条不同β=1/T(不同温度)所对应的数据点。这些繁复的分析,好在有前人在计算普通的(2+1)d XY相变点的电导时总结出来的操作规律[5,6],给了我们很大的启发。但是BFG作为kagome阻挫磁体的基本模型,其量子蒙特卡洛计算和有限尺度数据分析,还是比正方晶格的量子转子 (rotor) 模型困难不少。比如此处的温度尺度就比以往的计算要低起码一个量级,这是因为在我们关心的Z2 QSL相中,系统的最低能任意子vison激发,其能隙很小 (这个后面会提到,其实还暗藏一个有趣的物理意义)。
图3 (a)不同温度(β=1/T )下,蒙特卡洛计算所得的玻色子电导关于松原频率的变化σ (ωn)。在热力学极限下,温度趋于零温时,从奇Z2 QSL到超流相的(2+1)d XY*量子相变点上,电导的平台值σXY*=0.098(9)。该值在统计误差范围内恰好是传统(2+1)d XY相变点电导σXY =0.3554的1/4。此处的自对偶温度β *~ 400(T*~1/400);(b)类似的蒙特卡洛计算结果,对于从偶Z2 QSL到超流相的(2+1)d XY*量子相变点,1/4的分数化电导和自对偶温度也稳定存在
不过兴趣就是最好的动力,科学的魅力总是招引着我们不断往前追赶。在克服了诸多计算上的困难之后,我们看到如果把每个松原频率上的电导值再做一步不同温度的外插,会得到系统在(2+1)d XY*相变点上的一条具有普适行为的电导随着松原频率的曲线,就是图3(a),(b)中记为拟合的黑色实线。这两条黑实线在中间频率范围明显存在一个平台,这个平台所对应的电导,就是我们寻找的universal电导。而这个电导值,对于奇和偶Z2 QSL和(2+1)d XY*相变点来说,都是σXY*∼0.09,正好是前面提到的玻色子超流的(2+1)d XY相变点上σXY的1/4。这就是Z2量子自旋液体具有分数化电导的直接观测结果,就像人们在分数量子霍尔效应实验中观测到的分数化电导一样。以后人们再说起来Z2拓扑序量子自旋液体和其中的分数化任意子激发,除了大部人听不懂的anomalous dimension指数,终于有了这个比较容易理解的分数化临界电导[1]。
图4 (a)在奇Z2量子自旋液体相中,通过蒙特卡洛计算得到的vison-pair谱函数,可以看到的确存在一个很小的能隙,其对应的温度尺度,暗合图3中电导计算里看到的自对偶温度T*;(b)类似的蒙特卡洛计算结果,对于偶Z2量子自旋液体相,亦如此
其实问题比我们想象的还更加有趣。1/4的universal电导是因为Z2自旋液体中的自旋子带有正常玻色子一半的电荷。如果我们仔细看图3(a),(b)中不同温度下的数据,可以发现,电导的数据在高温和低温的时候,还有一个涌现的自对偶行为 (self-duality)。大体上说,就是蓝色背景 (低温) 和红色背景 (高温) 的数据,关于粉色背景的区域上下对称,而粉色背景区域的电导值,也就是我们上面提到的电导随着温度外插后的universal平台值。这样的自对偶行为,在传统的玻色子超流(2+1)d XY相变点处计算中是不存在的[5,6]。我们认为这也是拓扑序量子自旋液体系统不平常的地方。这是因为在Z2 QSL中还存在另一种vison任意子激发,它不带电荷,有一个比较小的能隙,乍一看不会对临界电导造成影响。但是vison是可以与自旋子发生相互作用的,也就是可以散射自旋子。当温度很低时,就是图3中的蓝色背景区域,系统温度低于vison的能隙,自旋子与vison的散射不强烈,电导有一种表现形式;当温度较高时,就是图3中的红色背景区域,自旋子和vison激烈散射,电导就有了另一种表现形式。区分二者的中间温度,就是粉色的自对偶温度T*,大概就是vison的能隙所对应的温度尺度。Vison的能隙大小,或者说自对偶温度的大小,其实可以通过系统中另一种动力学测量给出 (就是自旋SzSz的能谱或者玻色子密度关联的能谱),如图4所示,可以清楚的看到,图4(a),(b)所展示的vison-pair谱函数,不管对于奇还是偶的Z2 QSL,都有一个很小的能隙,能隙所对应的温度,都暗合图3(a),(b)中电导曲线的粉色自对偶温度T*。
所以,浪荡汉子们通过Z2量子自旋液体到超流的相变点上的电导测量,以分数电导的存在,揭示了系统存在自旋子任意子;又通过有限温度电导曲线的自对偶行为,揭示了系统中存在vison任意子,而且自旋子和vison也不像简单模型中那样没有相互作用,而是存在着有趣的关联和散射行为。拓扑序和涌现分数化激发所代表的超越朗道范式的量子物质形态,在这一个工作上都被我们清清楚楚地看到了。我们从中体会到的科学的美和有趣,通过笔者这些略显笨拙的描述,也很勉力地希望能够分享给大家。对于浪荡汉子们来说,这些作品,就是对他们最好的鼓励和回报,环境的变换和生活的磨砺,不会改变他们诙谐幽默的风格,在科学上的孜孜以求,还有朋友们之间的互助,“做自己认为有意思的事情,所有的事物和经历都会成为滋养我们创造的养分”,就是让他们继续浪荡下去,探索新的有趣的风景的动力。
对于略知前文引子部分故事来龙去脉的读者诸君,再写这样一段话做结吧。“星斗其文,赤子其人”,这是懂艺术的人们对于沈从文的评价,放在黄永玉身上也是成立的。从湘西无愁河上走出来的浪荡汉子们,无论环境如何严酷,无论生活甚至是生存的压力如何铺天盖地的过来,他们都能学着用赤子之心化解成滋养自己做认为有意思的事情的养分,写散文小说、刻木刻、画画、设计版画、研究文物和考古等等都做出了了不起的成绩,为民族、为世界留下了闪耀着人性趣味和光辉的财富。爱、怜悯、感恩,都是他们珍视的品质。希望我们的科学工作者队伍里面,也能多一些这样的浪荡汉子们,多一些这样看破一切人事乘除,得失荣辱,全置度外,心地明净无渣滓的人。
参考文献
[1] Wang Y C,Cheng M,Krempa W W et al. Fractionalized conductivity and emergent self-duality near topological phase transitions. Nature Communications,2021,12:5347
[2] Wang Y C,Yan Z,Wang C J et al. Vestigial anyon condensation on kagome quantum spin liquids. Phys. Rev. B,2021,103:014408
[3] Wang Y C,Zhang X F,Pollmann F et al. Quantum spin liquid with even Ising gauge field structure on kagome lattice. Phys. Rev. Lett.,2018,121:057202
[4] Sun G Y,Wang Y C,Fang C et al. Dynamical signature of symmetry fractionalization in frustrated magnets. Phys. Rev. Lett.,2018,121:077201
[5] Katz E,Sachdev S,Sørensen E S et al. Conformal field theories at nonzero temperature:Operator product expansions,Monte Carlo,and holography. Phys. Rev.B,2014,90:245109
[6] Chen K,Liu L,Deng Y et al. Universal conductivity in a two-dimensional superfluid-toinsulator quantum critical system. Phys. Rev. Lett.,2014,112:030402
本文经授权转载自微信公众号“中国物理学会期刊网”。